Autor: Ivana Bakočević, magistar tehnologije
E 234 Nizin
Strukturna formula:
| Definicija | Predstavlja policiklični peptid sa 34 ostataka amino-kiselina. Sastoji se od nekoliko sličnih polipeptida koje proizvode prirodni sojevi Streptococcus lactis, Lansefield grupa N.. Dobija se fermentacijom uz bakteriju Lactococcus lactis. Pripada klasi Lantibiotika. Koristi se za sprečavanje razvoja gram-pozitivnih bakterija u sirevima,piću,mesu itd.. |
| EINECS | 215-807-5 |
| Hemijska formula | C143H230N42O37S7 |
| Molekulska masa | 3 354,12 |
| Određivanje | Koncentrat nizina sadrži najmanje 900 i.u./mg u mešavini bezmasnog mleka u prahu sa najmanje 50 % natrijum-hlorida |
| Osobine | Beo prašak |
| Čistoća | |
| Gubitak sušenjem | Najviše 3 % sušenjem do konstantne mase na 102 oC – 103oC |
| Arsen | Najviše 3 mg/kg |
| Olovo | Najviše 5 mg/kg |
| Živa | Najviše 1 mg/kg |
| Teški metali (kao Pb) | Najviše 10 mg/kg |
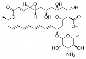
E 235 Natamicin
Strukturna formula:
| Sinonimi | Pimaricin |
| Definicija | Natamicin je fungicid iz grupe polienskih makrolida, a proizvode ga prirodni sojevi Streptomyces natalensis ili Streptococcus lactis. Smatra se prirodnim konzervansom. |
| EINECS | 231-683-5 |
| Hemijska formula | C33H47O13N |
| Molekulska masa | 665,74 |
| Određivanje | Najmanje 95,0 % u odnosu na anhidrovanu supstancu |
| Osobine | Beo do krem-beli kristalan prašak |
| Identifikacija | |
| A. Bojene reakcije | Dodavanjem nekoliko kristala natamicina na spot ploču u kap: koncentrovane HCl, razvija se plava boja, koncentrovane H3PO4, razvija se zelena boja, koja se menja u bledo-crvenu posle nekoliko minuta. |
| B. Spektrofotometrija | 0,0005 % m/v rastvor u 1 % metanolu u sirćetnoj kiselini pokazuje apsorpcione maksimume na oko 290 nm, 303 nm i 318 nm, rame na oko 280 nm i minimume na oko 250 nm, 295,5 nm i 311 nm |
| V. pH | 5,5 – 7,5 (1 % m/v rastvor u prethodno neutralizovanoj mešavini 20 zapremina dimetilformamida i 80 zapremina vode) |
| G. Specifična rotacija | |
| (D, 20oC) | od + 250o do + 295o (1 % m/v rastvor u glacijalnoj sirćetnoj kiselini, izračunato u odnosu na osušen materijal) |
| Čistoća | |
| Gubitak sušenjem | Najviše 8 % (iznad P2O5, u vakuumu na 60oC do konstantne mase) |
| Sulfatni ostatak | Najviše 0,5 % |
| Arsen | Najviše 3 mg/kg |
| Olovo | Najviše 5 mg/kg |
| Živa | Najviše 1 mg/kg |
| Teški metali (kao Pb) | Najviše 10 mg/kg |
| Mikrobiološki kriterijum: | Najviše 100 CFU/g |
| ukupna viabilnost | |
E 239 Heksametilentetramin
Strukturna formula:
| Sinonimi | Heksamin |
| Definicija | Heterociklično organsko jedinjenje |
| Hemijsko ime | Heksametilentetramin |
| 1,3,5,7-tetraazatriciklo[3,3,1,13,7]-dekan | |
| EINECS | 202-905-8 |
| Hemijska formula | C6H12N4 |
| Molekulska masa | 140,19 |
| Određivanje | Najmanje 99,0 % u odnosu na bezvodnu supstancu |
| Osobine | Bezbojan ili beo kristalan prašak |
| Identifikacija | |
| A. Pozitivna ispitivanja za formaldehid i za amonijak | |
| B. Temperatura sublimacije | oko 260oC |
| Čistoća | |
| Gubitak sušenjem | Najviše 0,5 % posle sušenja 2 h na 105oC u vakuumu iznad P2O5 |
| Sulfatni ostatak | Najviše 0,05 % |
| Sulfati | Najviše 0,005 % izraženo kao SO4 |
| Hloridi | Najviše 0,005 % izraženo kao Cl |
| Amonijum soli | Nedetektabilne |
| Arsen | Najviše 3 mg/kg |
| Olovo | Najviše 5 mg/kg |
| Živa | Najviše 1 mg/kg |
| Teški metali (kao Pb) | Najviše 10 mg/kg |
Izvori
http://en.wikipedia.org/wiki/E_number
http://www.food-info.net/
http://mentarihannover.blogspot.com/2011/04/what-is-halaal-part-1.html
http://www.medicinasportiva.ro/dr.drosescu/en/food_additives.html#supplements
http://www.ukfoodguide.net/enumeric.htm
http://www.earthways.co.uk/enumbers.html
http://curezone.com/foods/enumbers.asp
M.V. Piletić, B.Lj.Milić, S.M.Đilas, Organska hemija II, Prometej 1993.
http://www.reading.ac.uk/foodlaw/additive.htm


